[一維彈性碰撞公式]<從質心觀點導證1>
一維彈性碰撞
遵循兩個很重要的定律
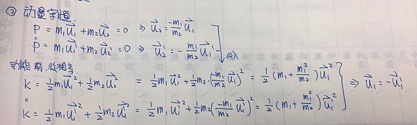
1.動量守恆
2.碰撞前後動能相同
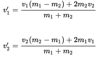
最後可以導證出兩條需要同學背起來加快解題速度的公式

但這個公式 相關順序及1、2要放哪裡 有些複雜 不太容易記憶
所以在這邊曹老師提供另一個比較容易記憶的公式
就是以從質心觀察兩物體 屬於質心不動之雙質點系統
因此對質心的相對速度與質量成反比分配
又其一維彈性碰撞很重要的特性為 接近速度=分離速度
以及 觀察者改變,並不會改變兩物間的相對速度
所以可得
m1碰撞後 相對質心速度U1'=[-m2/(m1+m2)]*(V1-V2)
m2碰撞後 相對質心速度U2'=[m1/(m1+m2)]*(V1-V2)
所以
m1碰撞後 對地速度V1'=Vcm+U1'=Vcm+[-m2/(m1+m2)]*(V1-V2)
m2碰撞後 對地速度V2'=Vcm+U2'=Vcm+[m1/(m1+m2)]*(V1-V2)
這樣子的形式 個人覺得比較容易記憶,背後有物理觀念在支持,而非硬背
提供給大家參考





------------------------------------
[一維彈性碰撞公式]<從質心觀點導證2>
課本上另一個表示法
更簡單
V1`=2Vcm-V1
V2`=2Vcm-V2
基本上只需要
以質心為觀察者
U1=V1-Vcm
U1'=V1'-Vcm
搭配
U1=-U1'
(因為動能要相同、U1與U2 、U1'與U2'比例相同,因此U1量值必等於U1'量值,但方向相反)
(這個特性可以順便記起來 接近質心的速度量值=遠離質心的速度量值)
就可以很快速解出
V1`=2Vcm-V1



以質心為觀察者
U1=V1-Vcm
U1'=V1'-Vcm
搭配
U1=-U1'
(因為動能要相同、U1與U2 、U1'與U2'比例相同,因此U1量值必等於U1'量值,但方向相反)
(這個特性可以順便記起來 接近質心的速度量值=遠離質心的速度量值)
就可以很快速解出
V1`=2Vcm-V1



沒有留言:
張貼留言